بار حریق چیست و چگونه در ایمنی حریق تأثیر دارد؟
بار حریق چیست و چگونه در ایمنی حریق تأثیر دارد؟
مقدمه
ایمنی حریق یکی از اصول حیاتی در مهندسی ایمنی و بهداشت حرفه ای است. یکی از مفاهیم کلیدی در این حوزه، بار حریق (Fire Load) است که تأثیر مستقیم بر سطح ریسک آتش سوزی در یک محیط دارد. در این مقاله، به تعریف بار حریق، نحوه محاسبه آن و تأثیر آن در ایمنی حریق خواهیم پرداخت.
بار حریق چیست؟
بار حریق به مقدار انرژی گرمایی که از سوختن مواد قابل اشتعال در یک فضا آزاد می شود، گفته می شود. این مقدار معمولاً بر حسب مگاژول بر متر مربع (MJ/m²) اندازه گیری شده و تأثیر بسزایی در طراحی سیستم های اعلام و اطفای حریق دارد.
برای درک بهتر مفهوم بار حریق، آشنایی با انواع حریق و نحوه طبقهبندی آن ضروری است.
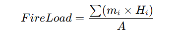
نحوه محاسبه بار حریق
برای محاسبه بار حریق از فرمول زیر استفاده می شود:

که در آن:
- m_i = جرم مواد قابل اشتعال (کیلوگرم)
- H_i = ارزش حرارتی مواد (مگاژول بر کیلوگرم)
- A = مساحت سطح مورد بررسی (متر مربع)
ارزش حرارتی برخی مواد قابل اشتعال
| ماده | ارزش حرارتی (MJ/kg) |
|---|---|
| کاغذ | 16-18 |
| چوب خشک | 17-20 |
| پارچه نخی | 16-18 |
| پلاستیک (PP, PE) | 30-40 |
| مایعات قابل اشتعال (بنزین) | 42-47 |
مثال محاسبه بار حریق
فرض کنید در یک اتاق بایگانی، 500 کیلوگرم کاغذ ذخیره شده است. ارزش حرارتی کاغذ 17 MJ/kg در نظر گرفته می شود و مساحت اتاق 20 متر مربع است.

این مقدار نشان می دهد که اتاق مذکور دارای سطح بالایی از بار حریق است و نیاز به تدابیر ایمنی مناسب دارد.
تأثیر بار حریق در ایمنی حریق
بار حریق مستقیماً بر طراحی سیستم های اطفای حریق و ایمنی ساختمان تأثیر دارد. هرچه مقدار بار حریق بیشتر باشد، خطر آتش سوزی افزایش یافته و نیاز به سیستم های حفاظتی بیشتری مانند اسپرینکلرها، دیوارهای مقاوم در برابر آتش و سیستم های تهویه دود وجود دارد.
استانداردهای مرتبط با بار حریق
مطالعه استانداردهای بین المللی در حوزه ایمنی حریق می تواند درک بهتری از نحوه ارزیابی و مدیریت خطرات ایجاد کند. برای آشنایی بیشتر، مقاله ایمنی حریق چیست؟ نکتههایی از اصول آن را مطالعه کنید.
چندین استاندارد معتبر بین المللی برای تعیین و مدیریت بار حریق وجود دارد، از جمله:
- NFPA 101 – Life Safety Code
- NFPA 557 – Standard for Determination of Fire Loads
- ISO 16733 – Fire Safety Engineering
- Eurocode EN 1991-1-2
این استانداردها مشخص می کنند که چگونه بار حریق باید اندازه گیری و مدیریت شود تا ایمنی حریق در محیط های صنعتی، تجاری و مسکونی افزایش یابد.
راهکارهای کاهش بار حریق
- استفاده از مواد غیرقابل اشتعال در ساخت و ساز
- محدود کردن حجم مواد قابل اشتعال در فضاهای بسته
- استفاده از سیستمهای اعلام و اطفای حریق خودکار
- طراحی مناسب خروجی های اضطراری و تهویه دود
نتیجه گیری
بار حریق یک عامل کلیدی در مدیریت ایمنی حریق است که تأثیر مستقیمی بر میزان خسارات جانی و مالی ناشی از آتش سوزی دارد. محاسبه صحیح و رعایت استانداردهای ایمنی می تواند نقش مهمی در کاهش ریسک آتش سوزی داشته باشد.
دیدگاهتان را بنویسید
برای نوشتن دیدگاه باید وارد بشوید.